Вы здесь
Главная › Научные советы › Экология и природные ресурсы › Научно-образовательный проект "Наука-школе" ›Адаптивные реакции организма в меняющейся среде
Особь (организм, индивидуум) надо признать центральным и самым конкретным объектом биологии. С одной стороны, особь есть результат и конечное звено идущего непрерывно около двух миллиардов лет эволюционного процесса. С другой стороны, в каждый момент этого времени все экологические объекты (популяции, биоценозы, экосистемы) взаимодействуют друг с другом и со средой только через конкретные особи. Поэтому, когда в ответ на мой доклад «Экология особи» Президиуму Санкт-Петербургского отделения РАН академик Ж.И. Алферов предложил считать особь квантом жизни, я, согласившись, ответил на это публикацией (Хлебович, 2004).
Типы реакций особей на внешние воздействия и лежащие в их основе механизмы приведены ниже (по: Хлебович, 2012).
Поведение выживания
Сюда отнесем реакции избегания вредного внешнего воздействия обычно путем механических действий (убегание, всплывание, закапывание, смыкание створок, затаивание). Часто проявляется остро в виде безусловного или условного рефлекса. Иногда - в виде неторопливого поиска комфортных условий. В этом случае появляется возможность исследовать экологический оптимум особей по месту их скопления в градиент-приборе. Например, температурный оптимум рыбок определяется в мостике Хертера – узком, длинном латунном сосуде, подогреваемом с одной стороны и охлаждаемом с другой. Все виды поведения выживания основаны на оперативной реакции возбудимых структур, у многоклеточных - нервной системы.
Физиологическая регуляция
Речь идет о регуляции параметров всего организма или его внутренней среды (плазма крови, лимфа, гемолимфа, полостная жидкость) в ответ на изменения внешней среды.
Терморегуляция, способность всегда поддерживать температуру тела на одном уровне, выработалась только у высших позвоночных – птиц и млекопитающих. Все остальные животные относятся к пойкилотермным организмам, температура тела которых не регулируется и остается одинаковой с внешней.
Осморегуляция - способность организмов жить в широком диапазоне солености воды или на суше, сохраняя постоянство осмотического давления среды внутренней. В эволюции осморегуляция возникала много раз независимо в разных группах водных животных. Первичным было отсутствие осморегуляции (пойкилоосмотическое состояние): осмотическое давление внутренней среды организмов всегда оставалось равным таковому среды внешней.
Читатель возможно заметил некоторое несоответствие терминологии реальному положению дел. По определению, осмотическое давление, о регуляции которого идет речь, является функцией числа растворенных в воде частиц, безотносительно к их природе. Но ведь организму небезразлично, чем создается внешнее и внутреннее осмотическое давление. Обычно осмотическое давление внешней среды организмов соответствует солености, величина которой выражается в граммах солей, растворенных в одном литре воды – промилле (‰). Соленость воды Мирового океана составляет около 34,5‰, Баренцева моря - 32‰, Белого моря - 25‰, Черного - 18‰, Балтийского у Куршской косы 7-8‰. По своему химическому составу морская вода представляет собой раствор солей с доминированием NaCl (около 80%) и устойчивым соотношением ионов вплоть до распреснения примерно до солености в 5‰, ниже которой нарастает доля двухвалентных ионов, что свойственно пресным водам. Большое сходство жидкостей внутренней среды самых разных организмов по соотношению ионов с морской водой дало основание с некоторыми оговорками говорить о солености внутренней среды, или внутренней солености. При этом узкий соленостный диапазон около 5 - 8‰, при переходе через который происходят качественные изменения как во внешней среде, так и в среде внутренней, выделяется как критическая соленость (Хлебович, 1974, 2012, 2014, 2015а, б; Хлебович, Аладин, 2010).
По современным представлениям, жизнь зародилась в среде с доминированием калия. В пользу этого говорит то обстоятельство, что РНК и ДНК биологически активны только в калиевой среде, а также то, что именно калий доминирует в клетках всех живых организмов. Химическим конкурентом калия является натрий. Увеличение концентрации натрия в среде (современный океан – преимущественно «натриевый») грозило вытеснением из протоклеток абсолютно необходимого им калия. Этот великий экологический кризис породил формирование современных биологических царств. Клетки протогрибов и проторастений приобрели мощные защитные оболочки, а предки животных выработали механизм активного (с затратой энергии) удаления из клетки натрия в обмен на нужный калий – натриевый насос, в роли которого выступает K – Na – АТФаза. Это «изобретение» оказалось настолько удачным, что далее на основе натриевого насоса возникли другие механизмы трансмембранного транспорта в обмен на натрий (например, сахаров), а также электрогенез, открывший дорогу развитию нервной системы. С этого времени натрий из врага животной клетки парадоксальным образом превратился в его обязательный элемент снаружи клетки. Это «снаружи клетки» означает или внешнюю среду одноклеточного или внутреннюю среду (см. выше) многоклеточного животного (см.: Спирин, 2001, 2003; Наточин, 2006, 2007; Хлебович, Аладин, 2010; Хлебович, 2014, 2015а, б).
Подавляющее большинство обитающих в современном («натриевом») море беспозвоночных лишены способности к регуляции внутренней солености и осморегуляции. В широком диапазоне солености внешней среды их внутренняя соленость следует за соленостью внешней. Такие организмы, отнесенные к α-пойкилоосмотическим (рис. 1), демонстрируют первичное состояние осмотических (солёностных) отношений организмов со средой. Такие организмы живут только в море и не проникают в сторону пресных вод ниже 5 – 8‰ (очень редко до 3‰). Многие крупные таксоны так и остались морскими с нерегулируемой внутренней соленостью, например, иглокожие, асцидии, головоногие моллюски.

Рис. 1. Эволюция соленостных отношений животных (по: Хлебович, 2015а).
Ниже солености 5 - 8‰ вплоть до истинно пресной воды могут обитать только гиперосмотические организмы, осмотическое давление внутренней среды которых поддерживается примерно на одном уровне и создается внутренней соленостью не ниже 5 – 8‰ (очень редко, например, у дафний и моллюсков-унионид, - до 2 - 3‰). В основе гиперосмотической регуляции, которой характеризуются все пресноводные животные (рис. 1), лежат механизмы активной сорбции ионов разного типа жабрами и реабсорбции их почками при образовании мочи, гипотоничной крови. Таким образом, внутренняя среда пресноводных животных может содержать минеральных ионов во много раз больше, чем во внешней среде. Прикинем: при средней величине солености крови пресноводных рыб около 12‰ и при минерализации воды р. Невы около 60 мг/дм3 концентрация ионов во внутренней среде рыбы оказывается в 200 раз выше, чем в среде внешней.
Почти все наземные организмы произошли от пресноводных гиперосмотических предков и сохранили выработанный ими в пресной воде уровень внутренней солености. Таковы кольчатые черви, брюхоногие моллюски, ракообразные (мокрицы), позвоночные (соленость крови человека 9,5‰). Некоторое сомнение могут вызывать трахейнодышащие, многоножки и насекомые, предки которых возможно вышли на сушу непосредственно из моря, через литораль.
Некоторые группы пресноводных гиперосмотических животных в процессе своей эволюции вторично вошли в море. При этом оказалось, что выработанная их предками величина внутренней солености оказалась в чем-то настолько выгодной, что все они сохранили ее при своем повторном освоении морской среды. При этом они пошли двумя путями.
- Многочисленные костные рыбы, а также родственники дафний - кладоцеры рода Podon поддерживают свою внутреннюю соленость ниже внешней гипотонической регуляцией. Они пьют морскую воду и удаляют излишки солей наружными клетками (у рыб клетками жабер), тем самым распресняя внутреннюю среду примерно вдвое-втрое. Можно повернуть картину наоборот: гипотоническая регуляция у морских организмов может быть доказательством их пресноводного происхождения (Хлебович, Аладин, 2010)
- Акулы, скаты, а также некоторые виды живущих в море амфибий (лягушка-крабоед, зеленая жаба), сохраняя характерную для пресноводных предков внутреннюю соленость, уравновешивают осмотическое давление внутренней среды со средой внешней добавлением в плазму крови соответствующего количества мочевины. Таким образом, эти животные формально оказываются пойкилоосмотичными, но это их качество достигается совсем другим путем, чем у морских беспозвоночных. Поэтому эти животные выделены в отдельную группу β- пойкилоосмотических (рис. 1).
Регуляция pH
Создается впечатление, что регуляция кислотно-щелочного равновесия внутренней среды осуществляется абсолютно всеми животными. Во всех случаях внутренняя среда оказывается слабощелочной (см.: Виноградов, 2000).
Гомеостаз
Итогом физиологической регуляции температуры, внутренней солености и рН будет гомеостаз – поддержание соответствующих параметров примерно на одном уровне при их широком колебании во внешней среде. Интересно, что в разных группах животных, произошедших независимо друг от друга, природа «избрала» показатели, которые: 1 - по каждому фактору близки между собой и 2 – их уровни оказываются близки соответствующим критическим значениям (Хлебович, 2005, 2007). Например, терморегуляцию приобрели независимо друг от друга птицы и млекопитающие. Они поддерживают температуру тела примерно на уровне 36 - 410С, что близко критической температуре устойчивости белков (около 44 - 450С). Внутренняя соленость различных беспозвоночных и позвоночных пресноводных гиперосмотических и гипоосмотических организмов обычно укладывается в небольшой диапазон 8 - 12‰, тогда как белки внутренней среды обычно коагулируют при солености ниже 5‰. Уровень рН внутренней среды всех животных постоянно поддерживается слабощелочным, чуть выше 7, т.е. совсем рядом с величиной, критически разделяющей щелочную реакцию от кислой. Это обстоятельство близости значений регулируемых параметров внутренней среды соответствующим критическим значениям можно объяснить принципом минимального действия Мопертюи, который постулировал преимущества управления процессами вблизи их фазовых переходов (Хлебович, 2005, 2007).
Акклимация
Много лет под акклимацией понимали лабораторный метод изучения материала, пригодного для сравнения по физиологическим показателям (Проссер, 1977). Выборки животных из разных мест некоторое время выдерживали в одинаковых условиях, акклимировали к ним. Специальные исследования того, что при этом происходит (см. Хлебович, 1981, 2012, 2017), привели к выводу, что акклимация может рассматриваться и как природное явление – особая фенотипическая адаптация, характеризующаяся следующими чертами:
- колебательным режимом изменения функций (рис. 2, 3) с их особенно резким изменением в начале процесса,
- продолжительностью примерно от недели до четырех недель, обычно около двух недель (рис. 2, 3),
- обратимостью, при возвращении прежних условий.
- лежащими в ее основе механизмами регуляции активности генов. Последнее обстоятельство подтверждено экспериментами по подавлению способности к акклимации нетоксичными дозами актиномицина D, ингибитора транскрипции de novo. Очевидно, способность к акклимации выработалась как генетическая, регулируемая внешней средой адаптация.

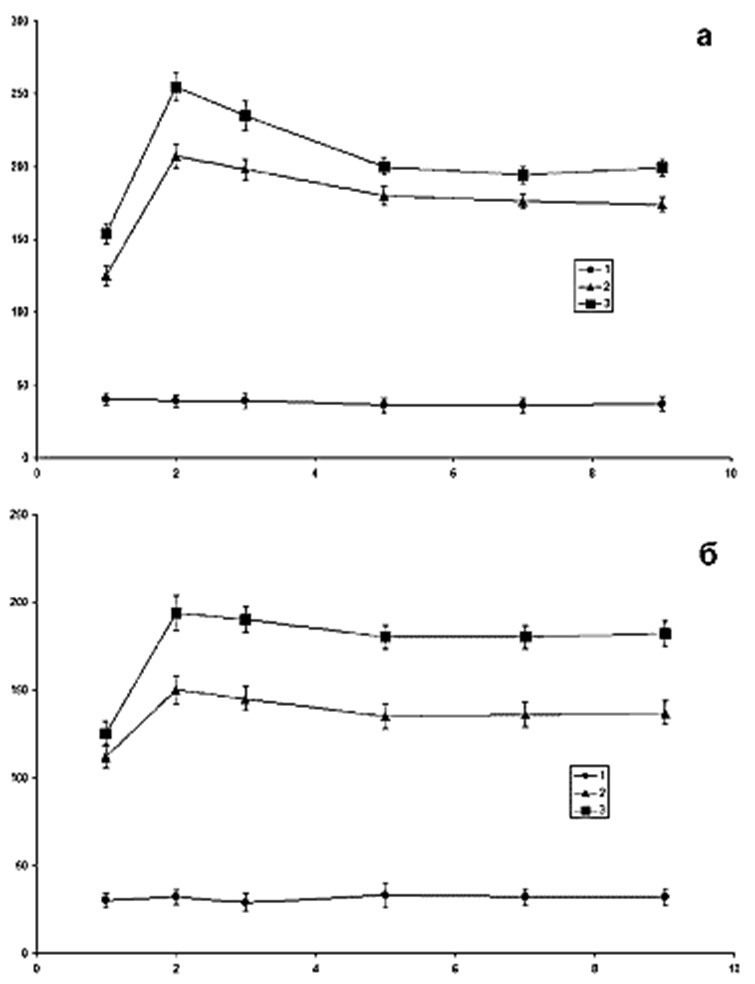
Рис. 2. Солёностная акклимация беломорских мизид Mysis oculata (20→8‰), тестируемая по потреблению кислорода (по: Хлебович, 1974, 1981, 2012). По оси абсцисс – время акклимации, дни; по оси ординат – интенсивность дыхания, мг О2 на 1 г сырой массы в 1 час. Пунктирная линия – интенсивность дыхания в контроле.

Рис. 3. Солёностная акклимация Paramecium calkinsi, перенесённых из пресной воды в среды высокой солёности, тестируемая по частоте пульсации сократительных вакуолей (по: Хлебович, 2012); а – передние вакуоли, б – задние вакуоли. 1 – солёность акклимации 12‰, 2 – солёность акклимации 8‰, 3 – контроль. По оси абсцисс – продолжительность эксперимента, сутки; по оси ординат – время между пульсациями вакуолей, с.
Из описанных свойств акклимации легко выводятся пути определения важной экологической характеристики выборки особей – толерантности по отношению к данному конкретному фактору. На практике у доставленной из природы в лабораторию выборки особей определяют диапазон 100% выживаемости (или активности) к данному фактору, например, солености, считая его исходным толерантным диапазоном. Сам процесс акклимации в чистом виде можно изучать только в пределах этого толерантного диапазона. Следующим шагом может быть полная акклимация организмов к крайним значениям толерантного диапазона. Следствием этого будет некоторое расширение толерантного диапазона, как в сторону увеличения, так и уменьшения дозы фактора. Серией последующих акклимаций (ступенчатая акклимация) может быть достигнут предел акклимации (рис. 4), который дает важнейшую характеристику особи и популяции – потенциальную толерантность.

Рис. 4. Ступенчатая акклимация Hydrobia ulvae (по: Хлебович, 2012).
По оси абсцисс – солёность, ‰; по оси ординат – доля активных особей через час экспозиции, %.
N – соленость, откуда животные собирались для опытов в природе;
А – А1 – толерантный диапазон животных, взятых из природы,
B – B1 - толерантность животных, акклимированных соответственно к А и А1;
C и C1 – толерантность животных, акклимированных к B и B1;
D и D1 – толерантность животных, акклимированных к C и C1;
E и E1 – толерантность животных, акклимированных к D и D1;
F1 – толерантность животных, акклимированных к E1.
Потенциальная толерантность – солёностный диапазон E – F1.
По существу, потенциальная толерантность, ярко демонстрируемая полигонами толерантности (рис. 5), является синонимом нормы реакции, важнейшего понятия биологии.
И ещё: теория акклимации налагает запрет на сравнение выборок особей до завершения их акклимации, особенно в первые сутки этого процесса, т.е. в остром опыте.

Рис. 5. Солёностный толерантный полигон Paramecium primaurelia (А) и P. woodruffi (Б) (по: Хлебович, 2012).
По оси абсцисс – солёность акклимации, ‰; по оси ординат тестовая солёность, ‰.
Дискретные адаптивные нормы
Со школьных лет нам известны многие примеры модификационной изменчивости. Иногда форма изменяется медленно в зависимости от силы воздействия фактора (величина листовой пластинки растения в зависимости от освещенности или размеров тела животных в зависимости от обеспеченность пищей в период роста). Особенно ярко модификационная изменчивость проявляется в виде дискретных адаптивных норм (ДАН), когда альтернативный признак возникает сразу в ответ на достижения внешнего сигнала пороговых величин (Медников, 1987).
Дискретные адаптивные нормы особенно ярко проявляются у клональных животных (инфузории, коловратки, кладоцеры, чаще всего в виде защитных шипов в ответ на химический сигнал присутствия хищника). Распространенным видом ДАН оказываются крылатые формы обычно бескрылых форм, например, клопов-водомерок. Сигналом к образованию крылатых особей служит стресс от частых столкновений особей друг с другом или с берегом, что свидетельствует об усыхании водоема и что дает возможность перелететь на новое место.
Было обращено внимание на то обстоятельство, что виды способные к образованию ДАН часто представлены в виде наследственных триад – одна из них всегда способна образовывать две ДАН и две других, постоянно существующих в виде одного из флангов ДАН. Например, у некоторых видов тех же клопов-водомерок могут быть наряду с популяцией бескрылых, способных к образованию крылатых, будут группы особей всегда бескрылых и всегда крылатых. Существование таких генетических триад можно рассматривать одним их доказательств генорегуляторной природы ДАН. Затем это было подтверждено подавлением способности к образованию ДАН нетоксичными дозами актиномицина D (Хлебович, 1999, 2002, 2006, 2009, 2012).
Биологический покой
Диапауза – самая совершенная форма биологического покоя (Алексеев, 1990). Она включает в себя предваряющие наступление сезонных вредных внешних воздействий перестройки функций, которые, помимо снижения общего метаболизма и прекращения формообразования, могут быть связаны с накоплением пищевых резервов (чаще липидов). Диапаузой могут характеризоваться разные онтогенетические стадии от оплодотворённого яйца до дефинитивного состояния. Время пребывания в диапаузе у разных организмов колеблется от полутора месяцев до нескольких лет. Глубина диапаузы бывает разной. Особенно часто она встречается у обитателей суши и пересыхающих или промерзающих водоёмов. Наиболее глубокие проявления диапаузы, когда метаболизм максимально подавлен, известны под названием анабиоза. При анабиозе часто отмечается значительная потеря воды – (ангидробиоз) или насыщение организма антифризами - веществами, препятствующими образование кристаллов льда.
Почти полное прекращение метаболизма позволяет при анабиозе использовать в качестве антифризов низкомолекулярные вещества – свободные аминокислоты, сахара и глицериды, которые могут буквально насыщать зимующие организмы.
Сигналом к началу ведущих к диапаузе перестроек обычно является фотопериод, достижение определенной длины светового дня. Фотопериод запускает каскад эндокринных воздействий, определяющих далее, как вхождение организмов в диапаузу, так и выход из неё. Сигнал подготовки к неблагоприятному по температуре сезону (морозам зимой или жаре летом) в виде фотопериода оказывается более надежным, чем только температура, с ее погодными временными падениями и подъёмами.
Очевидно, что у видов с ареалом, вытянутым с севера на юг, должны быть популяции с различным фотопериодом регуляции диапаузы.
Кроме диапаузы, различают более простые формы биологического покоя – оцепенение (вспомните вялых мух или рептилий в холодной комнате) и спячку, вход и выход из которой происходит рефлекторно, быстро; отсюда, в частности, опасность охоты на разбуженного в берлоге медведя.
Широтные сезонные миграции
Как и биологический покой, этот вид фенотипической адаптации связан с необходимостью обитателям умеренного климата избежать зимние морозы и бескормицу. Явление наиболее широко распространено и изучено у перелётных птиц (Дольник, 1975, 1976). Из млекопитающих сезонные миграции совершают некоторые летучие мыши, африканские антилопы, а также китообразные. Из беспозвоночных такие перемещения отмечены у некоторых бабочек. Так, далеко на юг осенью улетают наши репейницы, адмиралы, мёртвые головы и вьюнковые бражники. Там теплой зимой они, отложив яйца, вскоре погибают, а вышедшие из новых куколок молодые бабочки летят на север, где, отложив яйца, в свою очередь тоже погибают. Каждый их перелёт совершается впервые и только в одном направлении.
В отличие от биологического покоя этот вид адаптации подразумевает повышенный метаболизм, поскольку связан с длительным и дальним полётом. Но он также, как и диапауза, требует предварительного накопления запасных питательных веществ. И так же, как при диапаузе, основным сигналом к подготовке к этому виду адаптации оказывается фотопериод.
В заключении следует еще раз подчеркнуть, что комплексная сверх наука экология, привлекающая к себе внимание актуальностью задач её верхних этажей – экологии популяций, экосистем и биосферы, всегда должна учитывать, что эти этажи имеют фундамент – экологию особи, самого конкретного субъекта жизни.
Список литературы
1. Алексеев В.Р. Диапауза у ракообразных. М.: Наука, 1990. 143 c.
2. Виноградов Г.А. Процессы ионной регуляции у пресноводных рыб и беспозвоночных. М.: Наука, 2000. 216 с.
3. Дольник В.Р. Миграционное состояние птиц. М.: Наука, 1975. 388 с.
4. Дольник В.Р. Фотопериодизм у птиц // Фотопериодизм у животных и растений. Л., Зоол. Ин-т АН СССР, 1976. С. 47–81.
5. Медников Б.М. Проблема видообразования и дискретные адаптивные нормы // Журн. общ. биол., 1987, т. 48. С. 15–26.
6. Наточин Ю.В. Физико-химические детерминанты физиологической эволюции: от протоклетки к человеку // Физиол. журн., 2006, т. 92, № 1. С. 57–71.
7. Наточин Ю.В. Физиологическая эволюция животных: натрий – ключ к разрешению противоречий // Вестник РАН, 2007, т. 77, № 11. С. 999–1010.
8. Проссер Л. Сравнительная физиология животных. Том 1. М.: Мир, 1977. 708 с.
9. Спирин А.С. Биосинтез белков, мир РНК и происхождение жизни // Вестник РАН, 2001, т. 71, № 4. С. 340–328.
10. Спирин А.С. Рибонуклеиновые кислоты как центральное звено живой материи // Вестник РАН, 2003, т. 73, № 3. С. 117–127.
11. Хлебович В.В. Критическая солёность биологических процессов. Л.: Наука, 1974. 235 с.
12. Хлебович В.В. Акклимация животных организмов. Л.: Наука, 1981. 135 с.
13. Хлебович В.В. Адаптивные нормы и генетические триады // Эволюционная биология: история и теория. СПб: Изд. СПб филиала Инст. истории естествознания и техники РАН и СПб общ. естествоиспыт., 1999. С. 93-101.
14. Хлебович В.В. Адаптации особи и клона: механизмы и их роли в эволюции // Успехи совр. биол., 2002, т.122. С.16-25.
15. Хлебович В.В. Особь как квант жизни // Фундаментальные зоологические исследования: теория и методы. СПб: Товарищество КМК, 2004. С. 144–152.
16. Хлебович В.В. Уровни гомойотермии и гомойоосмии и вероятные причины, их определяющие // Журнал общей биологии, 2005, т.66, №5. С.431-435.
17. Хлебович В.В. Новое окно в эпигенетике // Природа, 2006, № 7. С. 22-29.
18. Хлебович В.В. Уровни гомеостаза // Природа, 2007, № 2. С. 61-65.
19. Хлебович В.В. Дискретные адаптивные нормы: механизмы и роль в эволюции // Труды Зоол. инст. РАН. Приложение № 1, 2009. С. 219-231.
20. Хлебович В.В. Экология особи (очерки фенотипических адаптаций животных). СПб: Изд. Зоол. ин-та РАН, 2012. 143 с.
21. Хлебович В.В. Этапы и принципы эволюции водно-солевых отношений организмов // Биосфера, 2014, т. 6, № 2. С. 70–75.
22. Хлебович В.В. Критическая соленость как маркер смены калиевой среды развития жизни на натриевую // Успехи совр. биол., 2015а, т.135, № 1. С. 18–20.
23. Хлебович В.В. Прикладные аспекты концепции критической солености // Успехи совр. биол., 2015б, т. 135, № 3. С. 272 – 278.
24. Хлебович В.В. Акклимация животных организмов: основы теории и прикладные аспекты // Успехи совр. биол., 2017, т. 137, № 1. С. 20–28.
25. Хлебович В.В., Аладин Н.В. Фактор солёности в жизни животных // Вестник РАН, 2010, т. 80, № 5–6. С. 527–532.
- 11958 просмотров
Научные советы
- Физико-математические науки
- Нанотехнологии
- Энергетика
- Материаловедение, механика, прочность
- Информатика, управление, телекоммуникации
- Экология и природные ресурсы
- ER55
- “ESTRUSEEL” ER80
- Научно-образовательный проект "Наука-школе"
- Экология в современном мире
- Генетическая токсикология. Что это такое?
- Геоэкология как новое междисциплинарное направление на стыке географии и экологии
- Адаптивные реакции организма в меняющейся среде
- Биологическое разнообразие и проблемы его сохранения
- О том, как влияют ГМО на видовое разнообразие
- Птицы ООПТ Финского залива
- Охрана природы как культурной ценности
- ЭКОЛОГИЧЕСКОЕ ОБРАЗОВАНИЕ
- Хопёрский заповедник
- Изучение микобиоты Центрально-Лесного государственного природного биосферного заповедника (Тверская область)
- Мохообразные трех особо охраняемых природных территорий Петродворцового района г.Санкт-Петербурга
- Новости
- Конференции
- Малоизученные проблемы
- TOPCONS
- Издания и аналитические работы
- Анализ выполнения раздела «Экология» стратегического плана Санкт-Петербурга
- Научная экологическая конференция школьников и студентов
- Некоторые аспекты экологических проблем: причины и следствия
- О возможности рационального использования воды,очищенной на станциях аэрации Санкт-Петербурга
- О роли научных конференций в становлении молодых ученых
- Роль гидросферы в процессах естественной самоочистки объектов природной среды
- Экологическая безопасность Северо-Западного региона
- Историческая справка
- Острые проблемы
- М.Г. Огурцов, «Современное потепление в контексте палеоданных о глобальной температуре Земли за последние 1000 лет»
- Рациональное использование природных ресурсов восточной части Финского залива
- С.В. Авакян, «Солнечно-земные связи, погода и современное изменение климата»
- С.В. Авакян, «Сравнение энергетики антропогенных и природных источников современного глобального потепления»
- С.В. Авакян, «Перспективы работы комиссии по физическим проблемам изменения климата»
- Статья А.В. Мещерской
- Отчет о деятельности
- За 2003 год
- Решения и постановления
- Постановление по вопросу «Молекулярная генетика как фактор экологизации земледелия»
- Постановление по вопросу «О перспективах охраны Ладожского озера»
- Постановление по вопросу «Оценка техногенного воздействия на планету Земля в реальном масштабе времени»
- Рекомендации семинара «Индикаторы устойчивого развития для Санкт-Петербурга»
- Рекомендации конференции «Основные направления деятельности Администрации Петербурга по вопросам охраны окружающей среды..»
- Решение семинара «Проблемы охраны водной системы Ладога-Нева-Финский залив от биологического загрязнения»
- Решения и постановления
- За 2005 год
- За последние годы
- За 2003 год
- Председатель и бюро Совета
- Проект «Наука — школе», часть 1
- Разработки научно-исследовательских институтов
- Структура совета
- Функциональные связи и деятельность Совета
- Экспертный опрос
- Биология и медицина
- Бюро совета и состав научного совета
- Историческая справка
- Основные направления деятельности
- Семинары и конференции
- Специализированные научные советы
- Научный совет «Приборы для медико-биологических исследований»
- Научный совет по проблемам генетики и биотехнологии
- Научный совет по проблемам молекулярной и клеточной биологии
- Научный совет по проблемам общей биологии
- Научный совет по проблемам физиологии
- Научный совет по фундаментальным проблемам клинической медицины
- Междисциплинарные проблемы транспортных систем
- Развитие агропромышленного комплекса
- Общественные и гуманитарные науки
- Химические науки
- Науки о Земле

